8.Sınıf Matematik Üslü İfadelerde Bölme İşlemi Konu Anlatımı güncel müfredata uygun olarak , kitaplardaki popüler soruların benzerleri dikkate alınarak hazırlanmıştır.Konu sonunda linklerle verilen test ve online test bölümlerini ziyaret etmenizi tavsiye ediyoruz…
Anlatımın içeriği;
- Tabanları aynı olan üslü sayılarda bölme işlemi tanımı ve örnekleri
- Tabanları farklı üslü ifadenin bölme işlemi örnekleri
- Tabanları farklı üsleri aynı olan üslü ifadelerin bölümü(ortak üs kuralı) tanımı ve örnekleri
Üslü Sayılar konusu 8.sınıf matematik konuları içerisinde en önemli konudur. Kareköklü sayılar,çarpanlar katlar,cebirsel ifadeler konularında üslü sayıların bilgilerine ihtiyaç vardır.Bu sebeple bu konunun iyi anlaşılması gerekir.
Bu konuda mümkün olduğunca fazla soru çözüp,konuyu pekiştirmenizi tavsiye ediyorum.
| Üslü İfadelerde Bölme İşlemi |
Tabanları aynı olan üslü ifadelerde bölme işleminde;
|
![]() |
Örnekler:
Eğer tabanlardan biri parantezli, diğeri parantezsiz verilmiş ise;
Örnek: |
Örnek:
işleminin sonucunu bulunuz.
Çözüm:
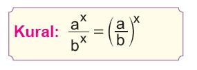
| Üslü Sayılarda Bölme İşlemi-Ortak Üs: |
|
![]() |
Örnekler:
Eğer tabanlardan birisi parantezli gelmişse;
Örnek: |
Örnek:
[ads2]
8.Sınıf Matematik Üslü Sayılar Konu Anlatımı ilgili daha çok test çözmek için>>
8.Sınıf Matematik Üslü Sayılar Konu Anlatımı ile ilgili Test indirmek için>>
8.Sınıf Matematik Üslü Sayılar Konu Anlatımı ile ilgili daha çok dökümana ulaşmak için>>





